Entry
Reader's guide
Entries A-Z
Subject index
Split Half Reliability
All observations and all measurements contain error. The focus of much work in measurement is to minimize and estimate the amount of error in any given measurement. In classical test theory, X is an observed score that is composed of T, the true score, and E, the error score: X = T + E. The true score is never known, but it can be thought of as the long-range average of scores from a single instrument administered to an individual an infinite number of times (the expected value or expected score). The error score is random and may have many sources, including testing conditions, individual characteristics that fluctuate from administration to administration, differences in forms, or instability of an individual's ability or trait over time.
This random error score is quite different from systematic sources of error, such as testwiseness, which may systematically increase an individual's score on each administration. Since testwiseness is systematic or constant, it finds its way into the true score and creates problems regarding validity because the trait being measured inadvertently may be influenced by testwiseness. Random error, since it varies randomly, influences the consistency of scores but not the expected value of a score (the true score) and thus influences reliability, not validity.
Theoretically, we can estimate the amount of error if we know how much of a given score is due to errors of measurement. If we were able to test a single person repeatedly without the effects of recall and fatigue, variation in their scores would be considered measurement error. If there were no measurement error, they would get the same score on each administration. Since it is not possible to test individuals repeatedly without the interference of recall and fatigue, we employ groups to estimate measurement error variance. This allows us to estimate the standard error of measurement, or the typical amount of measurement error in a set of scores.
If we take the classical test theory model of scores and consider groups of scores and their variances, we see that the variance of the observed scores equals the sum of the variance of true scores and the variance of error scores: S2X = S2T + S2E (in sample notation).
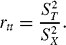
This is the long way of introducing the need for reliability: Reliability is a tool used to estimate the standard error of measurement, but it also has some intrinsic benefits in and of itself. Theoretically, reliability is considered the correlation between scores on two parallel forms of a test. The idea is that if there is no measurement error at work, scores from two parallel forms administered to the same group of individuals should be perfectly correlated—each individual should obtain the same score. It can be shown that the correlation between two parallel forms of a test is equal to the ratio of true score variance to observed score variance, or the proportion of variance in observed scores that is due to true individual differences:

This reliability coefficient can then be used in estimation of the standard error of measurement because it tells us the proportion of observed variance that is true variance; the standard error of measurement is a function of the proportion of observed variance that is true variance.
...
- Biographies
- Babbage, Charles
- Bernoulli, Jakob
- Bonferroni, Carlo Emilio
- Bruno, James Edward
- Comrey, Andrew L.
- Cronbach, Lee J.
- Darwin, Charles
- Deming, William Edwards
- Fisher, Ronald Aylmer
- Galton, Sir Francis
- Gauss, Carl Friedrich
- Gresham, Frank M.
- Jackson, Douglas N.
- Malthus, Thomas
- Markov, Andrei Andreevich
- Pascal, Blaise
- Pearson, Karl
- Poisson, Siméon Denis
- Reynolds, Cecil R.
- Torrance, E. Paul
- Wilcoxon, Frank
- Charts, Graphs, and Visual Displays
- Computer Topics and Tools
- Concepts and Issues in Measurement
- Standards for Educational and Psychological Testing
- T Scores
- z Scores
- Ability Tests
- Achievement Tests
- Alternate Assessment
- Americans with Disabilities Act
- Anthropometry
- Aptitude Tests
- Artificial Neural Network
- Asymmetry of g
- Attitude Tests
- Basal Age
- Categorical Variable
- Classical Test Theory
- Coefficient Alpha
- Completion Items
- Computerized Adaptive Testing
- Construct Validity
- Content Validity
- Criterion Validity
- Criterion-Referenced Test
- Cronbach, Lee J.
- Curriculum-Based Measurement
- Diagnostic Validity
- Educational Testing Service
- Equivalence Testing
- Essay Items
- Ethical Issues in Testing
- Face Validity
- Gf-Gc Theory of Intelligence
- Guttman Scaling
- Health Insurance Portability and Accountability Act
- High-Stakes Tests
- Immediate and Delayed Memory Tasks
- Individuals with Disabilities Education Act
- Information Referenced Testing
- Informed Consent
- Intelligence Quotient
- Intelligence Tests
- Internal Review Board
- Interrater Reliability
- Interval Level of Measurement
- Ipsative Measure
- Item and Test Bias
- Item Response Theory
- KR-20 and KR-21
- Likert Scaling
- Measurement
- Measurement Error
- Metric Multidimensional Scaling
- Multiple-Choice Items
- Multitrait Multimethod Matrix and Construct Validity
- Nomothetic Versus Idiographic
- Ordinal Level of Measurement
- Parallel Forms Reliability
- Performance IQ
- Performance-Based Assessment
- Personality Tests
- Portfolio Assessment
- Predictive Validity
- Projective Testing
- Q Methodology
- Questionnaires
- Ratio Level of Measurement
- Reliability Theory
- Response to Intervention
- Reverse Scaling
- Scaling
- Section 504 of the Rehabilitation Act of 1973
- Self-Report
- Semantic Differential
- Semantic Differential Scale
- Six Sigma
- Spearman's Rho
- Split Half Reliability
- Standard Error of Measurement
- Standard Scores
- Test-Retest Reliability
- Thurstone Scaling
- Torrance, E. Paul
- True/False Items
- Validity Coefficient
- Validity Theory
- Verbal IQ
- Concepts and Issues in Statistics
- Artificial Neural Network
- Attenuation, Correction for
- Autocorrelation
- Bayesian Statistics
- Bioinformatics
- Central Limit Theorem
- Decision Theory
- Diggle-Kenward Model for Dropout
- DISTATIS
- Exploratory Factor Analysis
- Factorial Design
- Fourier Transform
- Generalized Additive Model
- Generalized Method of Moments
- Generalized Procrustes Analysis
- Graphical Statistical Methods
- Hierarchical Linear Modeling
- Historiometrics
- Logistic Regression Analysis
- Loglinear Analysis
- Markov Chain Monte Carlo Methods
- Matrix Operations
- Mean
- Measurement Error
- Mixtures of Experts
- Nonparametric Statistics
- Propensity Scores
- Rasch Measurement Model
- Regression Analysis
- Sampling Distribution of a Statistic
- Signal Detection Theory
- Simpson's Paradox
- Spurious Correlation
- Standard Error of the Mean
- Standard Scores
- Support Vector Machines
- Survival Analysis
- Type I Error
- Type II Error
- Data and Data Reduction Techniques
- Descriptive Statistics
- Arithmetic Mean
- Attenuation, Correction for
- Autocorrelation
- Average
- Average Deviation
- Bayley Scales of Infant Development
- Biserial Correlation Coefficient
- Class Interval
- Coefficients of Correlation, Alienation, and Determination
- Cognitive Psychometric Assessment
- Cohen's Kappa
- Correlation Coefficient
- Cumulative Frequency Distribution
- Deviation Score
- Difference Score
- Estimates of the Population Median
- Fisher's Z Transformation
- Frequency Distribution
- Galton, Sir Francis
- Grand Mean
- Harmonic Mean
- Histogram
- Kendall Rank Correlation
- Mean
- Measures of Central Tendency
- Median
- Mode
- Moving Average
- Parameter
- Parameter Invariance
- Part and Partial Correlations
- Pearson Product-Moment Correlation Coefficient
- Pearson, Karl
- Percentile and Percentile Rank
- Scattergram
- Semi-Interquartile Range
- Spurious Correlation
- Standard Deviation
- Survey Weights
- Text Analysis
- Evaluation
- Experimental Methods
- Standards for Educational and Psychological Testing
- Alternative Hypothesis
- American Statistical Association
- Americans with Disabilities Act
- Association for Psychological Science
- Basic Research
- Bioinformatics
- Complete Independence Hypothesis
- Continuous Variable
- Critical Value
- Data Collection
- Data Mining
- Delphi Technique
- Dependent Variable
- Descriptive Research
- Ethical Issues in Testing
- Ethical Principles in the Conduct of Research With Human Participants
- Fractional Randomized Block Design
- Hello-Goodbye Effect
- Hypothesis and Hypothesis Testing
- Independent Variable
- Informed Consent
- Instrumental Variables
- Internal Review Board
- Longitudinal/Repeated Measures Data
- Meta-Analysis
- Missing Data Method
- Mixed Models
- Mixture Models
- Moderator Variable
- Monte Carlo Methods
- Null Hypothesis Significance Testing
- Ockham's Razor
- Pairwise Comparisons
- Post Hoc Comparisons
- Projective Testing
- Quasi-Experimental Method
- Sample Size
- Section 504 of the Rehabilitation Act of 1973
- Significance Level
- Simple Main Effect
- Simulation Experiments
- Single-Subject Designs
- Statistical Significance
- Suppressor Variable
- Variable
- Variable Deletion
- Variance
- Inferential Statistics
- Akaike Information Criterion
- Analysis of Covariance (ANCOVA)
- Analysis of Variance (ANOVA)
- Bayes Factors
- Bayesian Information Criterion
- Binomial Test
- Bonferroni, Carlo Emilio
- Complete Independence Hypothesis
- Data Analysis ToolPak
- Exploratory Factor Analysis
- Factorial Design
- Fisher, Ronald Aylmer
- Hierarchical Linear Modeling
- Hypothesis and Hypothesis Testing
- Inferential Statistics
- Logistic Regression Analysis
- Markov, Andrei Andreevich
- Null Hypothesis Significance Testing
- Pairwise Comparisons
- Part and Partial Correlations
- Repeated Measures Analysis of Variance
- Type I Error
- Type II Error
- Wilcoxon, Frank
- Organizations and Publications
- Journal of Modern Applied Statistical Methods
- Journal of Statistics Education
- Journal of the American Statistical Association
- Abstracts
- American Doctoral Dissertations
- American Psychological Association
- American Statistical Association
- Association for Psychological Science
- Buros Institute of Mental Measurements
- Centers for Disease Control and Prevention
- Educational Testing Service
- National Science Foundation
- Psychometrics
- PsycINFO
- Society for Research in Child Development
- Prediction and Estimation
- Attributable Risk
- Bernoulli, Jakob
- Chance
- Conditional Probability
- Confidence Intervals
- Continuous Variable
- Curse of Dimensionality
- Decision Boundary
- Decision Theory
- File Drawer Problem
- Gambler's Fallacy
- Generalized Estimating Equations
- Law of Large Numbers
- Maximum Likelihood Method
- Nonprobability Sampling
- Pascal, Blaise
- Probability Sampling
- Random Numbers
- Relative Risk
- Signal Detection Theory
- Significance Level
- Three-Card Method
- Probability
- Qualitative Methods
- Samples, Sampling, and Distributions
- Acceptance Sampling
- Adaptive Sampling Design
- Age Norms
- Attrition Bias
- Career Maturity Inventory
- Central Limit Theorem
- Class Interval
- Cluster Sampling
- Confidence Intervals
- Convenience Sampling
- Cumulative Frequency Distribution
- Data Collection
- Diggle-Kenward Model for Dropout
- Gauss, Carl Friedrich
- Heteroscedasticity and Homoscedasticity
- Homogeneity of Variance
- Hypergeometric Distribution
- Kurtosis
- Malthus, Thomas
- Multicollinearity
- Multivariate Normal Distribution
- Nonprobability Sampling
- Normal Curve
- Ogive
- Parameter
- Percentile and Percentile Rank
- Poisson Distribution
- Poisson, Siméon Denis
- Posterior Distribution
- Prior Distribution
- Probability Sampling
- Quota Sampling
- Random Sampling
- Sample
- Sample Size
- Semi-Interquartile Range
- Simpson's Rule
- Skewness
- Smoothing
- Stanine
- Stratified Random Sampling
- Unbiased Estimator
- Statistical Techniques
- k-Means Cluster Analysis
- t Test for Two Population Means
- Binomial Distribution/Binomial and Sign Tests
- Bivariate Distributions
- Bonferroni Test
- Bowker Procedure
- Causal Analysis
- Centroid
- Chance
- Chi-Square Test for Goodness of Fit
- Chi-Square Test for Independence
- Classification and Regression Tree
- Cochran Q Test
- Cohen's Kappa
- Delta Method
- Dimension Reduction
- Discriminant Analysis
- Dissimilarity Coefficient
- Dixon Test for Outliers
- Dunn's Multiple Comparison Test
- Eigendecomposition
- Eigenvalues
- EM Algorithm
- Exploratory Data Analysis
- Factor Analysis
- Factor Scores
- Fisher Exact Probability Test
- Fisher's LSD
- Friedman Test
- Goodness-of-Fit Tests
- Grounded Theory
- Kolmogorov-Smirnov Test for One Sample
- Kolmogorov-Smirnov Test for Two Samples
- Kruskal-Wallis One-Way Analysis of Variance
- Latent Class Analysis
- Likelihood Ratio Test
- Lilliefors Test for Normality
- Mann-Whitney U Test (Wilcoxon Rank-Sum Test)
- McNemar Test for Significance of Changes
- Median Test
- Meta-Analysis
- Multiple Comparisons
- Multiple Factor Analysis
- Multiple Imputation for Missing Data
- Multivariate Analysis of Variance (MANOVA)
- Newman-Keuls Test
- O'Brien Test for Homogeneity of Variance
- Observational Studies
- One-Way Analysis of Variance
- Page's L Test
- Paired Samples t Test (Dependent Samples t Test)
- Path Analysis
- Peritz Procedure
- Scan Statistic
- Shapiro-Wilk Test for Normality
- Structural Equation Modeling
- Tests of Mediating Effects
- Three-Card Method
- Tukey-Kramer Procedure
- Wilcoxon Signed Ranks Test
- Statistical Tests
- t Test for Two Population Means
- Analysis of Covariance (ANCOVA)
- Analysis of Variance (ANOVA)
- Behrens-Fisher Test
- Binomial Distribution/Binomial and Sign Tests
- Binomial Test
- Bonferroni Test
- Bowker Procedure
- Chi-Square Test for Goodness of Fit
- Chi-Square Test for Independence
- Classification and Regression Tree
- Cochran Q Test
- Dixon Test for Outliers
- Dunn's Multiple Comparison Test
- Excel Spreadsheet Functions
- Fisher Exact Probability Test
- Fisher's LSD
- Friedman Test
- Goodness-of-Fit Tests
- Kolmogorov-Smirnov Test for One Sample
- Kolmogorov-Smirnov Test for Two Samples
- Kruskal-Wallis One-Way Analysis of Variance
- Latent Class Analysis
- Likelihood Ratio Test
- Lilliefors Test for Normality
- Mann-Whitney U Test (Wilcoxon Rank-Sum Test)
- McNemar Test for Significance of Changes
- Median Test
- Multiple Comparisons
- Multivariate Analysis of Variance (MANOVA)
- Newman-Keuls Test
- O'Brien Test for Homogeneity of Variance
- One- and Two-Tailed Tests
- One-Way Analysis of Variance
- Page's L Test
- Paired Samples t Test (Dependent Samples t Test)
- Peritz Procedure
- Repeated Measures Analysis of Variance
- Shapiro-Wilk Test for Normality
- Tests of Mediating Effects
- Tukey-Kramer Procedure
- Wilcoxon Signed Ranks Test
- Tests by Name
- Adjective Checklist
- Alcohol Use Inventory
- Armed Forces Qualification Test
- Armed Services Vocational Aptitude Battery
- Basic Personality Inventory
- Bayley Scales of Infant Development
- Beck Depression Inventory
- Behavior Assessment System for Children
- Bender Visual Motor Gestalt Test
- Bracken Basic Concept Scale–Revised
- California Psychological Inventory
- Career Assessment Inventory
- Career Development Inventory
- Career Maturity Inventory
- Carroll Depression Scale
- Children's Academic Intrinsic Motivation Inventory
- Clinical Assessment of Attention Deficit
- Clinical Assessment of Behavior
- Clinical Assessment of Depression
- Cognitive Abilities Test
- Cognitive Psychometric Assessment
- Comrey Personality Scales
- Coping Resources Inventory for Stress
- Culture Fair Intelligence Test
- Differential Aptitude Test
- Ecological Momentary Assessment
- Edwards Personal Preference Schedule
- Embedded Figures Test
- Fagan Test of Infant Intelligence
- Family Environment Scale
- Gerontological Apperception Test
- Goodenough Harris Drawing Test
- Graduate Record Examinations
- Holden Psychological Screening Inventory
- Illinois Test of Psycholinguistic Abilities
- Information Systems Interaction Readiness
- Internal External Locus of Control Scale
- International Assessment of Educational Progress
- Iowa Tests of Basic Skills
- Iowa Tests of Educational Development
- Jackson Personality Inventory–Revised
- Jackson Vocational Interest Survey
- Kaufman Assessment Battery for Children
- Kinetic Family Drawing Test
- Kingston Standardized Cognitive Assessment
- Kuder Occupational Interest Survey
- Laboratory Behavioral Measures of Impulsivity
- Law School Admissions Test
- Life Values Inventory
- Luria Nebraska Neuropsychological Battery
- Male Role Norms Inventory
- Matrix Analogies Test
- Millon Behavioral Medicine Diagnostic
- Millon Clinical Multiaxial Inventory-III
- Minnesota Clerical Test
- Minnesota Multiphasic Personality Inventory
- Multidimensional Aptitude Battery
- Multiple Affect Adjective Checklist–Revised
- Myers-Briggs Type Indicator
- NEO Personality Inventory
- Neonatal Behavioral Assessment Scale
- Peabody Picture Vocabulary Test
- Personal Projects Analysis
- Personality Assessment Inventory
- Personality Research Form
- Piers-Harris Children's Self-Concept Scale
- Preschool Language Assessment Instrument
- Profile Analysis
- Projective Hand Test
- Quality of Well-Being Scale
- Raven's Progressive Matrices
- Roberts Apperception Test for Children
- Rorschach Inkblot Test
- Sixteen Personality Factor Questionnaire
- Social Climate Scales
- Social Skills Rating System
- Spatial Learning Ability Test
- Stanford Achievement Test
- Stanford-Binet Intelligence Scales
- Strong Interest Inventory
- Stroop Color and Word Test
- Structured Clinical Interview for DSM-IV
- System of Multicultural Pluralistic Assessment
- Thematic Apperception Test
- Torrance Tests of Creative Thinking
- Torrance Thinking Creatively in Action and Movement
- Universal Nonverbal Intelligence Test
- Vineland Adaptive Behavior Scales
- Vineland Social Maturity Scale
- Wechsler Adult Intelligence Scale
- Wechsler Individual Achievement Test
- Wechsler Preschool and Primary Scale of Intelligence
- West Haven-Yale Multidimensional Pain Inventory
- Woodcock Johnson Psychoeducational Battery
- Woodcock Reading Mastery Tests Revised
- Loading...
Get a 30 day FREE TRIAL
-
Watch videos from a variety of sources bringing classroom topics to life
-
Read modern, diverse business cases
-
Explore hundreds of books and reference titles
Sage Recommends
We found other relevant content for you on other Sage platforms.
Have you created a personal profile? Login or create a profile so that you can save clips, playlists and searches